Τετρακτύς καὶ Θεμελιώδης Μουσικὴ Κλίμακα
Ἕνα φυσικὸ ἐξελικτικὸ φαινόμενο
Ἀπό τὸ βιβλίο…
Ἐπιστρέφουμε στὸ β΄στάδιο ἀνάπτυξης τοῦ γεωμετρικοῦ μηχανισμοῦ καὶ μὲ κορυφὴ τὸ σημεῖο Α1, φέρνουμε τὶς ἡμιευθεῖες α1α2α3 καὶ α4, οἱ ὁποῖες διέρχονται ἀντίστοιχα ἀπὸ τὰ σημεῖα Β1,Β,Γ καὶ Γ1.
Ἀπὸ τὸ σημεῖο Β1 φέρνουμε εὐθεία κάθετη στὸ Β1Γ1. Αὐτὴ τέμνει τὴν ἡμιευθεία α2 στὸ σημεῖο Β2.
Ἀπὸ τὸ σημεῖο Β2 φέρνουμε τὴν εὐθεία ε΄ κάθετη στὴν ε2, ἡ ὁποία τέμνει τὴν α1 στὸ σημεῖο Β3, τὴν α3 στὸ σημεῖο Γ2 καὶ τὴν α4 στὸ σημεῖο Γ3.
Ἀποδεικνύεται ἐδῶ ὅτι:
Β2Γ2=Β1Γ1=φ2
Δ1Δ2=Α1Δ2-Α1Δ1=φ2-φ=1
Β3Γ3=φ2∙φ=φ3
Συνεχίζοντας νὰ ἐργαζόμαστε μὲ τὸν ἴδιο τρόπο, καταλήγουμε στὸ ἑπόμενο βῆμα ἐξέλιξης, μὲ ἀνάλογα καὶ ἀναμενόμενα ἀποτελέσματα καὶ συμπεράσματα. Ἔτσι, θὰ ἔχουμε:
Β4Γ4=Β3Γ3=φ3
Δ2Δ3=Α1Δ3-Α1Δ2=φ3-φ2=φ
Β5Γ5=φ3∙φ=φ4
Ἐὰν θὰ συνεχίσουμε, θὰ παρατηρήσουμε ὅτι σὲ κάθε ἐξελικτικὸ βῆμα, ὅλες οἱ γραμμικὲς τιμὲς τοῦ μηχανισμοῦ θὰ αὐξάνονται κατὰ τὴν τιμὴ φ.
Ἐξελίσσουμε τὸν μηχανισμὸ ἐκτελώντας ἑπτὰ βήματα, ὅπως φαίνεται στὸ σχέδιο. Σχηματίζονται ἑπτὰ ὅμοια Χρυσὰ τρίγωνα, στὸ ἐσωτερικὸ τοῦ μηχανισμοῦ, μὲ κοινὴ κορυφή. Ὅπως ἀποδείξαμε, σὲ κάθε βῆμα, οἱ βάσεις τῶν τριγώνων παίρνουν τιμὲς αὐξανόμενες κατὰ φ. Ἔχουμε δηλαδὴ τιμὲς ποὺ πληροῦν τοὺς ὄρους γεωμετρικῆς προόδου μὲ λόγο φ. Θὰ θεωρήσουμε τὶς βάσεις τῶν παραπάνω χρυσῶν τριγώνων ὅτι εἶναι χορδὲς ἴδιου ὑλικοῦ καὶ πάχους καὶ εἶναι κουρδισμένες μὲ τὴν ἴδια δύναμη (τάση). Ἑπομένως, οἱ συχνότητες ποὺ θὰ παράγονται ἀπὸ τὶς παλλόμενες χορδές, θὰ ἐξαρτῶνται ἀποκλειστικὰ ἀπὸ τὸ μῆκος τους. Ἂν θεωρήσουμε ὅτι ἡ τέταρτη χορδή, ποὺ στὸ σχέδιο ἀντιστοιχεῖ στὸ φ4, παράγει τὴν νότα ΛΑ (432), τότε μποροῦμε νὰ συμπληρώσουμε τὸν ἑπόμενο πίνακα.
Οἱ νότες ποὺ ἀπαρτίζουν τὸν παραπάνω πίνακα, εἶναι οἱ νότες τῆς θεμελιώδους μουσικῆς κλίμακας, μὲ τὴν σειρὰ ποὺ μᾶς τὴν ἔδωσε ὁ καταρχὴν γεωμετρικὸς μηχανισμὸς ποὺ μελετοῦμε καὶ μάλιστα, δίχως τὸν περιορισμὸ τῆς ἀπόδοσης τους ἐντὸς μίας μουσικῆς ὀκτάβας.
Ἀναλόγως σκεπτόμενοι, θὰ μπορούσαμε νὰ θεωρήσουμε σὰν μία μεγάλη χορδὴ τὸ ὕψος τοῦ τριγώνου πρὸς τὴν βάση. Τότε, τὰ συνεχόμενα εὐθύγραμμα τμήματα κάτω ἀπὸ τὴ βάση τοῦ ἀρχικοῦ χρυσοῦ τριγώνου, ξεκινώντας ἀπὸ αὐτὸ ποὺ ἀντιστοιχεῖ στὴ μονάδα (διάμετρος τοῦ μοναδιαίου κύκλου), σχηματίζουν καὶ πάλι, μὲ τὴ σειρά, ὅλη τὴ μουσικὴ κλίμακα τοῦ φ.
Τέλος, παρατηρώντας κάποιος τὰ προηγούμενα σχήματα, εὔκολα θὰ μποροῦσε νὰ ὑποθέσει ὅτι οἱ ἀναλογίες τους ἴσως ἀντιστοιχοῦν μὲ τὶς ἀναλογίες κατακόρυφης τομῆς τῆς Πυραμίδας τοῦ Χέοπος. Εἶναι οἱ ἀναλογίες, ποὺ ὅπως εἴδαμε, μᾶς ἔδωσε καὶ ἡ ἔλλειψη στὰ ἐλλειπτικὰ στάσιμα κύματα μὲ λόγο φ. Ἂς τὸ διαλευκάνουμε. Θὰ ὑπολογίσουμε τὴν ὑποτείνουσα Α1Β1.
Προκύπτει πὼς ὁ λόγος τῆς ὑποτείνουσας Α1Β1 πρὸς τὴν κάθετη πλευρὰ Β1Δ1 τοῦ ὀρθογωνίου τριγώνου Α1Δ1Β1 εἶναι ἴσος μὲ :
Ὁ ἀντίστοιχος λόγος, στὴν πυραμίδα τοῦ Χέοπος, εἶναι ἴσος μὲ τὸν ἀριθμὸ φ. Οἱ τιμές, ἂν καὶ εἶναι πολὺ κοντὰ μεταξὺ τους, δὲν συμπίπτουν, ἑπομένως δὲν μποροῦμε νὰ ταυτίσουμε τὸ παραπάνω γεωμετρικὸ σχέδιο σὰν τὴν σχεδιαστικὴ βάση κατασκευῆς τῆς πυραμίδας. Ὅπως θὰ φανεῖ ὅμως παρακάτω, ὁ μηχανισμὸς αὐτός, μαζὶ μὲ τὸν ἀρχικὸ μηχανισμὸ τοῦ τετραγωνισμοῦ τοῦ κύκλου, θὰ ἀποτελέσουν τὰ προπαρασκευαστικὰ καὶ προαπαιτούμενα στάδια γιὰ τὴν ἀποκάλυψη τῆς βάσης τοῦ σχεδίου κατασκευῆς τῆς πυραμίδας.
3ο στάδιο ἀνάπτυξης
Τὸ εὐθύγραμμο τμῆμα Β1Γ1 ποὺ ἐμφανίστηκε στὸ σχέδιο τοῦ μηχανισμοῦ στὸ 2ο στάδιο, εἴδαμε ὅτι μπορεῖ νὰ ἀποτελεῖ τὸν μεγάλο ἄξονα ἔλλειψης, μὲ ἑστίες τὰ σημεῖα Β καὶ Γ. Ἡ ἔλλειψη τέμνει τὸ ὕψος τοῦ Χρυσοῦ τριγώνου Α1ΒΓ στὰ σημεῖα Κ καὶ Λ. Τὸ εὐθύγραμμο τμῆμα ΚΛ εἶναι ὁ μικρὸς ἄξονας τῆς ἔλλειψης. Εἴδαμε ἐπίσης ὅτι : 
Σχεδιάζουμε τὴν εὐθεία χ1, ἡ ὁποία διέρχεται ἀπὸ τὰ σημεῖα Κ καὶ Β καὶ τὴν εὐθεία χ2 ποὺ διέρχεται ἀπὸ τὰ σημεῖα Κ καὶ Γ.
Ἀπὸ τὸ σημεῖο Α1 φέρνουμε εὐθεία ψ1 παράλληλη στὴν χ1, ἡ ὁποία τέμνει τὴν εὐθεία ε στὸ σημεῖο Β3. Παρομοίως, φέρνουμε τὴν εὐθεία ψ2, παράλληλη στὴν χ2, ἡ ὁποία τέμνει τὴν εὐθεία ε στὸ σημεῖο Γ3.
Ἀποδεικνύεται (ἐδῶ) ὅτι:
Εἶναι πλέον ξεκάθαρο ὅτι τὸ τρίτο στάδιο ἐξέλιξης τοῦ μηχανισμοῦ μας συνδέεται ἀπόλυτα μὲ τὴ μουσικὴ κλίμακα καὶ μὲ τὰ κύματα γενικώτερα, ἀφοῦ καὶ τὸ εὐθύγραμμο τμῆμα ἀλλὰ καὶ ὁ προαναφερόμενος λόγος εἶναι ἴσοι μὲ τὴν τετραγωνικὴ ρίζα τοῦ λόγου ποὺ τὴν καθορίζει.
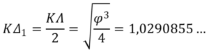
Ἡ σημαντικώτερη ὅμως πληροφορία ποὺ δίνει τὸ 3o στάδιο ἐξέλιξης τοῦ μηχανισμοῦ εἶναι ὁ λόγος 
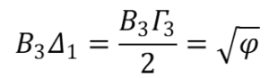
Ἐπειδὴ τὸ Δ1 εἶναι τὸ μέσον τοῦ Β3Γ3 θὰ ἰσχύει:
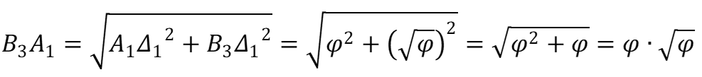
Μὲ ἐφαρμογὴ τοῦ Πυθαγόρειου Θεωρήματος στὸ τρίγωνο Β3Α1Δ1 ἔχουμε :
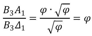
Ἑπομένως ἰσχύει ὅτι :
Αὐτὲς ὅμως εἶναι οἱ ἀναλογίες ποὺ συναντοῦμε καὶ στὴν πυραμίδα τοῦ Χέοπος. Τὸ ὕψος της καὶ τὸ ἀπόστημα της, σχηματίζουν ὀρθογώνιο τρίγωνο μὲ δεύτερη κάθετη πλευρὰ ἴση μὲ τὸ μισὸ μῆκος τῆς βάσης της. Ὁ λόγος τοῦ ἀποστήματος της (ΑΒ) πρὸς τὴ δεύτερη κάθετη πλευρὰ (ΒΓ) ἰσοῦται ἐπίσης μὲ τὸν ἀριθμὸ φ.
Λέγεται πὼς ἡ μεγάλη πυραμίδα τοῦ Χέοπος εἶναι ἕνα «βιβλίο» γραμμένο μὲ τὴν παγκόσμια γλώσσα τῆς Γεωμετρίας, ποὺ ἀκόμα δὲν μπορέσαμε νὰ διαβάσουμε. Ἐφόσον, μὲ ἀποδείξεις ἔχουμε ἀποδεχθεῖ τὴ χρήση τῆς Τετρακτύος στὴν κατασκευὴ της, ἂς προχωρήσουμε στὴν ἀποκρυπτογράφηση κάποιων ἀπὸ τὰ μυστικά της.
