Τετρακτὺς καὶ Πυθαγόρεια Μουσική Κλίμακα

Μουσικός κῶνος 2 καὶ ὁ ἀριθμὸς π

Ἀπό τὸ βιβλίο…

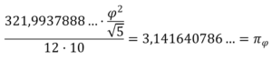
     Τὴν τιμὴ φ2/√5=1,17082… τὴν εἴχαμε συναντήσει γιὰ πρώτη φορὰ στὸν ἀρχικὸ μηχανισμό, ποὺ μᾶς ἔδωσε καὶ τὸν ἀριθμὸ πφ.  Εἶναι ἡ τιμὴ τοῦ εὐθυγράμμου τμήματος ΕΓ.

 

     Μὲ αὐτὸν τὸν ἀριθμὸ θὰ πολλαπλασιάσουμε τὴν τιμὴ τῆς ἐπίκεντρης γωνίας, μετὰ θὰ τὸν διαιρέσουμε τόσο μὲ τὸν ἀριθμὸ δώδεκα (ὅσα καὶ τὰ βήματα ἑνὸς φαινομένου), ὅσο καὶ  μὲ τὸν  κεντρικὸ γιὰ τὴν Τετρακτύν ἀριθμὸ δέκα. Τὸ ἀποτέλεσμα εἶναι τὸ ἀκόλουθο.

     Εἶναι πλέον φανερὸ ὅτι ἡ δεδομένη γωνία ἔχει ἰσχυρὴ σχέση μὲ ἕναν πλήρη κύκλο φυσικοῦ, ἐξελικτικοῦ φαινομένου στὴν πράξη, ἀλλὰ καὶ μεταφορικά.

Ἐπικοινωνία

costasmantz@gmail.com

Σύνδεση