Τετρακτὺς καὶ Πυθαγόρεια Μουσική Κλίμακα
DNA - Ὁ βιοϋπολογιστὴς τοῦ ἀριθμοῦ π
Ἀπό τὸ βιβλίο…
Θὰ δοθεῖ ἕνα παράδειγμα ποὺ ἔχει σχέση μὲ τὴ ζωή.
Ύπάρχει μία ἰδιαίτερη μαθηματικὴ σχέση ποὺ συνδέει τὰ μοριακὰ βάρη τῶν νουκλεοτιδίων μὲ τὸν ἀριθμὸ πφ.
Ἂς φέρουμε στὸ μυαλὸ μας τὴν διπλὴ ἕλικα τοῦ DNA. Μποροῦμε νὰ φανταστοῦμε τὴν κάθε περιστροφὴ τῆς ἕλικας σὰν ἕνα πλήρη ἐξελικτικὸ κύκλο τοῦ περιοδικοῦ αὐτοῦ φαινομένου. Ἐπειδὴ ἡ ἕλικα εἶναι διπλή, ταιριάζει καὶ μὲ τὸ μοντέλο τοῦ μουσικοῦ κώνου 2 ποὺ περιγράψαμε. Μιᾶς καὶ ἀναφερόμαστε σὲ περιστροφή, ἄρα καὶ σὲ κύκλο, θὰ δοῦμε ποιὰ μπορεῖ νὰ εἶναι ἡ σχέση τοῦ DNA μὲ τὸν ἀριθμὸ π.
Ἀρχικὰ θὰ θυμηθοῦμε τὴν μέθοδο ποὺ χρησιμοποίησε ὁ Ἀρχιμήδης γιὰ νὰ ὑπολογίσει τὴν τιμὴ τοῦ ἀριθμοῦ π Σὲ κύκλο διαμέτρου ἴσης μὲ τὴ μονάδα (μοναδιαίος κύκλος), κατασκεύασε ἐγγεγραμμένο κανονικὸ ἑξάγωνο, τοῦ ὁποίου τὴν περίμετρο ὑπολόγισε καὶ βρῆκε ἴση μὲ τρία(3).Θεώρησε ἔτσι ὅτι ἡ τιμὴ τοῦ ἀριθμοῦ π πρέπει νὰ εἶναι μεγαλύτερη τοῦ 3.Κατόπιν, ἀπὸ τὸ ἑξάγωνο προχώρησε σὲ δωδεκάγωνο καὶ ὑπολόγισε ἐκ νέου τὴν περίμετρο τοῦ μὲ τιμὴ 3,1058… καὶ ἑπομένως π>3,1058… Προχωρώντας σὲ 24 – γωνο, ὑπολόγισε τὴν τιμὴ αὐτῆς στὰ 3,1326… μὲ π>3,1326. Ὅσο οἱ δυνατότητες τῆς ἐποχῆς τοῦ τὸν ἐπέτρεψαν, ἔδωσε τὰ κάτω ὅρια στὴν τιμὴ τοῦ ἀριθμοῦ π μὲ τὴν μεγαλύτερη προσέγγιση, μιᾶς καὶ κάθε φορὰ ἡ περίμετρος τοῦ πολυγώνου θὰ πλησίαζε ὅλο καὶ περισσότερο στὴν περίμετρο τοῦ κύκλου. Τὰ ἐπάνω ὅρια τὰ ἔδωσε μὲ ὑπολογισμὸ τοῦ ἀντίστοιχου περιγεγραμμένου κανονικοῦ πολυγώνου. Μὲ χρήση ὑπολογιστὴ θὰ μπορούσαμε νὰ ἀποδείξουμε τὴν ἀπόλυτη ὀρθότητα τῆς μεθόδου τοῦ Ἀρχιμήδη γιὰ τὸν ὑπολογισμὸ τοῦ ἀριθμοῦ π. Πράγματι, ὅσο πιὸ μεγάλος γίνεται ὁ ἀριθμὸς τῶν πλευρῶν κανονικοῦ πολυγώνου ἐγγεγραμμένου σὲ μοναδιαίο κύκλο, τόσο ἡ περίμετρος τοῦ τείνει στὸν ἀριθμὸ π. Εἶναι φανερὸ ὅτι ἡ πατρότητα εὕρεσης τῆς τιμῆς τοῦ ἀριθμοῦ π, τοῦ ἀνήκει. Μάλιστα εἶναι ὑποχρέωσή μας, ἡ ἐπαναλαμβανόμενη ἀναφορὰ στὸ ἐπίτευγμα τοῦ μεγάλου αὐτοῦ Ἕλληνα Πανεπιστήμονα.
Τί μπορεῖ νὰ συμβαίνει στὸ DNA;
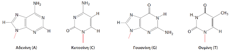
Τὰ δομικὰ συστατικὰ τοῦ DNA εἶναι τὰ νουκλεοτίδια τῆς Ἀδενίνης (Α), τῆς Θυμίνης (Τ), τῆς Γουανίνης (G) καὶ τῆς Κυτοσίνης (C). Τὰ ἀντίστοιχα μοριακὰ τους βάρη εἶναι 331, 322, 347 καὶ 307. Θὰ φανταστοῦμε τὰ νουκλεοτίδια σὰν στοιχειώδη δομικὰ στοιχεῖα. Τὰ μοριακὰ τους βάρη, ἡ στερεοχημικὴ τους δομή, μαζὶ μὲ τὸν προσανατολισμὸ τους στὸ χῶρο λόγῳ τῶν δεσμῶν ποὺ δημιουργοῦνται, μᾶς ἐπιτρέπει νὰ τὰ δοῦμε σὰν πλευρὲς ἑνὸς πολυγώνου ποὺ ἀπώτερο σκοπὸ ἔχουν τὴν δημιουργία τέλειας σπείρας καὶ ἑπομένως τὴν ἐμφάνιση τοῦ ἀριθμοῦ π.
Ἔστω πὼς ὑπάρχει ἕνας μαθηματικὸς τύπος ποὺ σχετίζεται μὲ τὰ μοριακὰ βάρη τῶν νουκλεοτιδίων καὶ μπορεῖ νὰ μᾶς δώσει τὸν ἀριθμὸ π καὶ αὐτὸς ἔχει τὴν παρακάτω μορφὴ:
α∙G+β∙Τ-α∙Α-β∙C=π ὅπου G,T,A καὶ C εἶναι τὰ ἀντίστοιχα μοριακὰ τους βάρη καὶ α καὶ β πραγματικοὶ ἀριθμοί.
Ποιοὶ μποροῦν νὰ εἶναι οἱ ἀριθμοὶ α καὶ β ποὺ ἐπαληθεύουν τὴν σχέση καὶ πὼς συνδέονται μεταξὺ τους;
Ἂν θεωρήσουμε ὅτι τὸ ἄθροισμα τῶν ἀριθμῶν α καὶ β εἶναι ἴσο μὲ 2, τιμὴ ποὺ παραπέμπει καὶ στὴν διπλὴ ἕλικα τοῦ DNA
α+β=2 (1)
καὶ ὅτι ὁ λόγος τους εἶναι ἴσος μὲ τὰ τρία δεύτερα τοῦ ἀριθμοῦ φ
α/β=3/2·φ (2)
τότε ἡ λύση τοῦ συστήματος μᾶς δίνει τὶς τιμὲς
α=1,4164079… καὶ β=0,5835921…∙
Ἡ ἀντικατάσταση τους στὸν ἀρχικὸ τύπο μᾶς δίνει συναρπαστικὰ ἀποτελέσματα καὶ συμπεράσματα.
αG+βΤ-αΑ-βC=10·3,14164079…=10·πφ
Εἶναι ἐντυπωσιακὸ πὼς στὸν τύπο δημιουργίας τῆς τέλειας σπείρας ἐμπλέκονται τὰ νουκλεοτίδια μόνο μὲ τὰ μοριακὰ τους βάρη, ἡ ἀναλογία ὅμως μὲ τὴν ὁποία ἀναμειγνύονται ἐξαρτᾶται τόσο ἀπὸ τὸν λόγο 3/2, ποὺ τὴ σημασία του εἴδαμε στὴν πυθαγόρεια μουσικὴ κλίμακα καὶ ὄχι μόνο, ὅσο καὶ ἀπὸ τὴν Χρυσὴ ἀναλογία (φ).
Αὐτὸ ποὺ καθορίζει λοιπὸν τὴν ἀξία τοῦ συστήματος πέρα ἀπὸ τὴν ἐμφάνιση τοῦ ἀριθμοῦ πφ, εἶναι ἡ πολὺ συγκεκριμένη τιμὴ τοῦ ἀριθμοῦ α, ἡ ὁποία προκύπτει ἀπὸ τὸν λόγο α/β=3/2 φ. Τί θὰ μπορούσαμε νὰ ὑποθέσουμε; Ἀπώτερος σκοπὸς τῆς Φύσης εἶναι ἡ ἐπίτευξη τοῦ τέλειου κύκλου ἢ τῆς τέλειας σπείρας. Ὅταν αὐτὸ ἐπιτυγχάνεται, στὴν περίπτωση σχηματισμοῦ τοῦ DNA, δημιουργεῖται ζωή. Μεταλλάξεις, ποὺ συμβαίνουν συνεχῶς καὶ σὲ πολὺ μεγάλο ἀριθμὸ καὶ ποὺ ὁδηγοῦν σὲ ἀπομάκρυνση τῆς στερεοχημικῆς δομῆς τοῦ DNA ἀπὸ τὴν τελειότητα τοῦ κύκλου, ἡ ἴδια ἡ Φύση τὶς ἀπορρίπτει, ἐπιτρέποντας νὰ ἐπιβιώσουν μόνο αὐτὲς ποὺ τηροῦν συγκεκριμένες προϋποθέσεις (διατήρηση ἀρτιότητας τοῦ σχήματος) καὶ οἱ ὁποῖες κατὰ κανόνα εἶναι θεμιτὲς καὶ μποροῦν νὰ ὑποστηρίξουν τὴ ζωή.
Φαίνεται λοιπὸν ὅτι ἡ Φύση ἐπέλεξε νὰ συνδέσει τοὺς ἀριθμοὺς π καὶ φ μὲ τὴ σχέση πφ=6/5 φ2. Φαίνεται ἐπίσης ὅτι ἀκόμη καὶ γιὰ τὴν ὕπαρξη τῆς ζωῆς, ἡ Φύση χρησιμοποίησε τὸν μουσικὸ λόγο 3/2, γεγονὸς ποὺ ἐναρμονίζεται μὲ τὴν πυθαγόρεια μουσικὴ κλίμακα, ἀλλὰ καὶ μὲ τὴν Τετρακτύν, στὴν μορφὴ ποὺ μᾶς δόθηκε στὶς μέρες μας (ἰσόπλευρο τρίγωνο), ἄλλα καὶ στὴν μορφὴ ποὺ μᾶς ἀποκαλύφτηκε (χρυσὸ τρίγωνο).
Ἡ συμβολὴ τοῦ βιολόγου καὶ ἐκπαιδευτικοῦ Κου Μαρίνου Σπηλιόπουλου στὴν ἐπίτευξη τῆς παραπάνω ἀνακάλυψης, ὅπως καὶ ἡ ἀναλυτικὴ μεθοδολογία περιγράφονται στὴν βιβλιογραφία μου.
Στὴ συνέχεια θὰ ἐρευνήσουμε τὴ σχέση τοῦ μουσικοῦ κώνου 2, μὲ τὴν Τετρακτύν.
